반응형
고등학교때 배우는 삼각함수는 이과생이라면 대학에 진학한 후에도 꾸준히 쓰게 된답니다.
이러한 삼각함수는 처음 배울때 확실히 배우는게 좋겠지만, 암기적인 부분이 많아서 종종 저도 참고하게 된답니다.
수학에서 삼각함수는 각의 크기를 삼각비로 나타내는 함수로, 가장 근본적이고 기본적인 수학의 함수로 사용됩니다.
기본적으로 3개의 함수 사인,코사인,탄젠트로 구성되어 있는데요, 이들의 역수는 각각 코세컨트(csc) 세컨트(sec) 코탄젠트(cot)로 나타내어집니다.
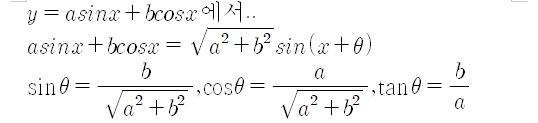
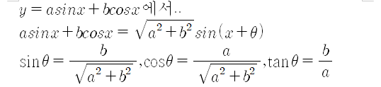
삼각함수의 공식중에서도 기본적인 함수 공식을 제외한 제곱공식, 덧셈공식, 2배각 공식, 반각 공식을 정리해드리겠습니다.


삼각함수 제곱공식

삼각함수 덧셈공식

삼각함수 덧셈 공식
사인은 신코코신,신코마코신, 코사인은 코코마신신,코코플신신, 탄젠트는 일마탄탄플탄탄,일플탄탄탄마탄
라고도 많이 외우십니다.

삼각함수 2배각 공식

삼각함수 반각공식



반응형
댓글